Two papers are on the way about a model linking solar field activity and large terrestrial eqarthquakes. h/t to Michele
Studies Suggest Sun Triggers Massive Earthquakes
The sun is triggering the deadliest earthquakes on the planet, including the recent M8.3 earthquake in Chile on September 16, 2015 and deadly tsunami that followed, according to two papers to be published October 5th in New Concepts in Global Tectonics. The papers investigate fluctuations in the magnetic field activity of the sun and found a statistically significant relationship between M8+ earthquakes and the extremes and reversals in magnetism of solar polar magnetic fields.The team first announced the results in August 2014, and recently used the methods proposed in that study to provide evidence that a recent major earthquake fit the patterns observed in the foundational study. In early 2014, Dr. Christopher Holloman’s team of researchers at The Ohio State University Statistical Consulting Service was able to construct a model that exhibited very strong agreement between solar magnetism patterns and the occurrence of large earthquakes. Dr. Holloman warned that formal testing of the model can only be performed by examining its performance over the next few years, but that the agreement was sufficient to suggest that a relationship likely exists between solar polar fields, or magnetic fields associated with the north and south poles of the sun, and large earthquakes. Now we have a subsequent event that appears to comport with the initial study.
— http://spaceweathernews.com/studies-suggest-sun-triggers-massive-earthquakes/
If this turns out to be correct it is step toward useful warnings of high risk of major quakes, in combination with stress buildup pointing to where..
Also, I wonder if the cause and effect can be reversed as a proxy, a little more can be deduced about past solar state since large earthquakes are recorded back into the mists of time. I doubt there is any 1:1 correspondence.
Post by Tim






Hi, Tim. Has anyone hypothesized the physics behind this correlation? Could it be the interaction between the sun’s magnetic field and, say, the earth’s own magnetic field or its iron ore deposits? Obviously, I don’t have a clue.
Piers Corbyn regularly issues earthquake warnings using solar behaviour as a guide to prediction, on a trial basis I believe.
http://www.weatheraction.com/
Insolation patterns (including circulation-driving spatial insolation gradients) move water.
Thus-redistributed pressure sometimes crosses thresholds.
Confounding with other variables? Lots of things coupled …so yes no doubt.
http://onlinelibrary.wiley.com/doi/10.1002/2015JD023638/full
Quote :
“…..Over the course of the eruption, daily volcanic sulfur dioxide (SO2) emissions exceeded daily SO2 emissions from all anthropogenic sources in Europe in 2010 by at least a factor of 3…..”
It’s a electrical circuit with the moon.
I remember two important documents on NCGT and my study.
http://www.ncgt.org/newsletter.php?action=download&id=130
Kolvankar (2011) shows that 98% of all earthquakes satisfy a linear relationship:
(1) GMT = EMD + SEM + const
http://www.ncgt.org/newsletter.php?action=download&id=145
EARTHQUAKES OCCUR VERY CLOSE TO EITHER 06:00 OR 18:00 LUNAR LOCAL TIME
Abstract: If an earthquake (EQ) has to occur at some location and on some day, almost always it happens during either one of two time intervals close either to 06:00 or to 18:00 LLT (lunar local time). This law applies to ∼98% of case histories. The procedures are presented that are suited to assess the exact duration of the time lag with a 95% (or higher) confidence limit.
http://michelecasati.altervista.org/index.html
Quote :
“Both papers will be published in the upcoming issue of New Concepts in Global Tectonics available October 5th, 2015, and discussion of solar-triggered earthquakes will be part of Observing the Frontier in Pittsburgh, PA on October 17 and 18, 2015.”
I await next publication
Quote:
“The papers investigate fluctuations in the magnetic field activity of the sun and found a statistically significant relationship between M8+ earthquakes and the extremes and reversals in magnetism of solar polar magnetic fields.”
We have a new paper for the cowboy list’s
😆
Jerry, people have been theorising for years.
I’d think in terms of moving fields, EMF, electromotive force but electrostatics might do something.
It’s often forgotten there is a huge volume of high atmosphere (ionised gas) riddled with electrical fields. The mechanical forces will be minuscule per unit volume but sustained for long enough over a large area and who knows? All it would take is changing the force at a fault, very little physical movement, provided abrupt slip is ready. Alternatively the movement could prepare a fault for slip so I can well see why timing would be approximate.
I’ve seen plenty of tantalising ionospheric effects reported.
(earth’s core is above it’s curie point but is conductive)
Michele, I would appreciate more data than “Michele Casati Research Page
This page is under perpetual construction please come back…”
[mod] click on ‘research’ link
Reblogged this on WeatherAction News.
Very nice Michele!
It is not obly the sun …….. earthquake-predict.blogspot.gr I have predicted the Chile one and so many others. Who cares!
I have also published my results.
The sorrow stae of the earquake prediction block is well known for years! Even meteorology is better. The fact that I post regularly not only global but LOCAL earthquake results shows how much better my methods are. Unfortunately there is money involved and you have to be in the clique.
[…] Source: Sun earthquake linkage and August 2015 Chile quake | WeatherAction News […]
If I tell you that there will be an earthquake in Greece by the end of this month >4R will somone care? But I do it regularly and successfully. So the issue is not to predict. The issue is WHO says it. The right people must predict. If I have a dog who barks eight times before an earthquake and then an 8R arrives and I predict it it does not matter. If the same thing comes from USGS then thats ok.
Known effects make me think that gravity is a manifestation of the fields of deep space charge(-) and lack of charge (+) of matter that creates linear acceleration warpage of the dielectric or tension between the electron shell and the nucleus of matter. The surface of things is displaced from it’s center of mass. All matter has a more positive static charge level, while the charge of space is negative static . We do know that the dielectric warpage that takes place in a gravity field is the same as that that takes place within an electronic capacitance device. Gravity causes voltage gradients to develop in non-conductive materials without electron flows. Static charges of matter in motion create EMF effects including magnetic. Conversely magnetic effects in motion move static charged matter. All matter contains the static charges of it’s components. This concept results in Gravity manifestation obeying all the laws of EMF propagation…pg
This is a list of publications regarding my work on Earthquake prediction for those interested.
A C Boucouvalas A Keskempes, N Tselikas, Leading Time Domain Seismic Precursors” 2nd International Conf. on Remote Sensing and Geoinformation 2014, 7-10 April 2014 Paphos, Cyprus.
AC Boucouvalas, A Keskempes, N Tselikas “ Seismicity map tools for earthquake studies”. General Assembly 2014 of the European Geosciences Union, (EGU) 27 April-2 May 2014, Vienna, Austria.
AC Boucouvalas, A. Keskempes, N Tselikas “Deterministic Precursors for Earthquake Location” ECEES2014 Istanbul Turkey, 25-29 August 2014.
AC Boucouvalas A Keskempes, N Tselikas Leading Time Domain Seismic Precursors SPIE Proceedings SPIE 9229 based on the paper of 2nd International Conf. on Remote Sensing and Geoinformation 2014 ,7-10 April 2014 Paphos, Cyprus.
A. Keskempes, A. Roussos, N. D. Tselikas and A. C. Boucouvalas, Seismicity online grid map for regional earthquake activity studies, PCI 2011 – 15th Panhellenic Conference on Informatics, September 30-October 2, 2011, Kastoria, Greece
A. Keskempes, A. Roussos, N. D. Tselikas and A.C. Boucouvalas, Online seismicity grid map of Greece with subregional multiple seismicity plots, EUREKA! 2011, September 30-October 1, 2011, Kastoria, Greece.
I. Pappos, K. Raikakos, E. Basiaka, A. Tsixli , P. Moumtzidou, N. D. Tselikas and A.C Boucouvalas A Planetary Alignment Solar System Simulator for Earthquake Research, EUREKA!
2011, September 30- October 1, 2011, Kastoria, Greece.
I missed the most important one….
Modified-Fibonacci-Dual-Lucas method for earthquake prediction
A. C. Boucouvalas ; M. Gkasios ; N. T. Tselikas ; G. Drakatos
Proc. SPIE 9535, Third International Conference on Remote Sensing and Geoinformation of the Environment (RSCy2015), 95351A (June 19, 2015); doi:10.1117/12.2192683
Michele points to Gregori (2015) who states (see p.21):
“Since for every EQ considered alone we know LT and SEM, also LLT=LT-SEM is known as per figure 1b. Therefore, it is possible to compute the LLT for every EQ. A histogram can thus be drawn that includes all 5,000 (or more) EQ of some world catalogue, independent of epicentre location and time, e.g. with magnitude above some given threshold etc.
According to the Kolvankar’s plots, two Gaussian distributions are to be expected in this histogram, centred, respectively, at 06:00 and at 18:00 LLT.”
…but then no histogram is included in the paper — can anyone point to such a global summary?
I’ve just followed up by looking at Kolvankar (2011) (pointed to by Gregori (2015)).
Michele, please update us as soon as you can point to a “money chart” — i.e. the generalized global histogram suggested by Gregori (2015) (…a stake to put through the totalitarian hearts of american anti-cycle vampires).
stenies2012, are you Anthony Boucouvalas? I looked at your blog and found many links aren’t working. Where is the information that tells when you made your prediction before an event? Is your ‘Planetary Alignment Solar System Simulator for Earthquake Research’ in operation on the website somewhere (I didn’t see it.)
Thanks in advance.
Bob Weber: I am about to change blog to a more professional, so maybe some links are not working I did not know I will check. The information iyou see is by the date of the post of the CALENDAR at the beginning of every month. Check it out. I post in the blog as well as facebook which is a month in advance….too busy to do more.
http://acb.uop.gr/index.php/publication-list
Paul, I sent a email to Dr. De Gregori
We have another great opportunity to see whether a lunar eclipse will affect earthquake activity today and tomorrow.
The sun has been fairly quiet recently, although SSN shot up by 59 two days ago, with smallish spots. An M2 flare occurred this morning, but Dst showed no sign of it affecting the ring current.
Otherwise all solar particle indices are quiet as of this moment, although >2MeV electrons are somewhat high due to the now out-going coronal hole.
I’ve been working during the past month on an “electric weather app” for my website, and now have real-time continually updating solar, lunar, and geo electric, magnetic, and electromagnetic data to refer to, which might be of interest to many here. Getting closer to posting it all to the web.
It’s encouraging to see all you guys publishing on this topic. I intend to be amongst the published with findings of my own that should generally compliment yours on this topic.
Piers Corbyn has also had several good earthquake predictions in the past few years, including this year too. It’s getting to be more routine where researchers can ID upcoming potential events.
A.C.B. – that’s a long list of papers!
stenies2012 says: September 27, 2015 at 7:25 am
Wow you really have been busy, that is very impressive.
Bob Weber says: September 27, 2015 at 2:18 pm
What is the address of your website?
AC – it’s electricweatherdotcom, and, I’m still putting it together & really need to wrap it all up ASAP.
pg
Good, now hold on. Start at cohomologies, then move on to the n-category theory. After you have described your thinking using 20th century maths, you can move on to the 21st century.
Of course the Sun has nothing to do with the Earth’s climate: 97% of climate scientists agree.
as predicted an ad stated in here ….. And no 4R quakes are not every day. Anyway the day is young and we may see more… See earthquake-predict.blogspot.gr
Magnitude Mw 4.0
Region WESTERN TURKEY
Date time 2015-09-28 03:34:03.9 UTC
Location 36.17 N ; 29.56 E
Depth 2 km
Distances 329 km SE of İzmir, Turkey / pop: 2,500,603 / local time: 06:34:03.9 2015-09-28
131 km SW of Antalya, Turkey / pop: 758,188 / local time: 06:34:03.9 2015-09-28
8 km SW of Kaş, Turkey / pop: 7,452 / local time: 06:34:03.9 2015-09-28
http://ds.iris.edu/seismon/
Specific earthquake prediction is really great!! Please provide more such predictions as they are made. This is how science will learn, if there is more learning to be had.
Comparison of solar activity in September 2014 and September 2015.
http://cosmicrays.oulu.fi/webform/query.cgi?startday=29&startmonth=08&startyear=2014&starttime=00%3A00&endday=29&endmonth=09&endyear=2015&endtime=00%3A00&resolution=Automatic+choice&picture=on
Within my prdicted limits… posted in here and also in earthquake-predict.blogspot.gr
Magnitude mb 4.7
Region CRETE, GREECE
Date time 2015-09-29 09:12:39.9 UTC
Location 34.56 N ; 24.48 E
Depth 40 km
ren, my back aches just looking at that image! It just reminds me of all the solar wind induced Forbush decrease driven polar vortex outbreaks from the past two winters, when I had to shovel a few tons of snow it seemed like every day for weeks on end, and then saw all your postings of it happening all over the web! 🙂
Bob better look at this:

Greet.
ren, the -55 to -60 range southern boundary is right now the area for cool temps – high 50’s to 60’s in the USA, and the -60 to -65 southern boundary is the edge of a long front across the US where south of it, where all the US high heat index areas are right now, the temps are in the 80’s or more.
nevertheless he attained considerable popularity through apparently correct predictions of several seismic events. Falb’s lasting legacy is that he popularized the concept of extraterrestrial influences of geophysical phenomena, even though his concepts regarding the origins of earthquakes were wrong.
https://en.wikipedia.org/wiki/Rudolf_Falb
Don’t forget that quartz and other minerals are piezoelectric. Squeeze them you get charge. Apply charges, you get shape change… Used in modern electronic Diesel injectors to get near instant 10000 psi pressure pulses… Granite has a lot of silicon dioxide in it…
The issue is online :
http://www.ncgt.org/newsletter.php?action=download&id=149
Page : 314
Fig. 4. The Six Largest Earthquakes of the Current Solar Polar Fields Cycle. A close-up of the Polar Maximum of the 2000s/2010s with black vertical lines at the 6 largest earthquakes of this the period. 5 of the 6 fell within ‘Significant Windows’. (1) M9.1 Sumatra. December 26, 2004. Occurred during an “Average Reversal.” (2) M8.6 Sumatra. March 28, 2005. Occurred during a positive peak of the southern field. (3) M8.5 Sumatra. September 12, 2007. Occurred during a negative peak of the northern field/positive trough of the southern field. (4) M8.8 Chile. February 27, 2010. Occurred during a positive peak of the southern field/negative trough of the northern field. (5) M9.0 Japan.
..
…
….
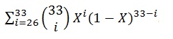
We have a new play game for the cowboy :
“……There were thirty-three M8+ earthquakes that were recorded on Earth between mid-1976 and mid-January 2014, according to the records from United States Geological Survey. Assuming the independence of Significant Windows and earthquake occurrence, the probability of each of the 33 M8+ earthquakes of falling within Significant Windows is 41.6%. Twenty-six of the thirty-three M8+ earthquakes (78.8%) fall within the Significant Windows. Given the probability at the outset, and assuming there is no relationship between SPF and M8+ earthquakes, the probability that 26 or more out of 33 such events fall within Significant Windows is :
Probability :
where X represents the probability that an earthquake will fall within a Significant Window (41.6%).
Probability = 0.000015
I remember the whole heavens-earth linkage thing being well explained imo and documented a few years back by Dr Omerbashich (google him)
This: http://seismo.info
Check his discovered pattern in 6+ quakes and his own theory why that should be so. In short: As a planetary alignment begins those quakes pick up, then peak, then subside. Pretty amazing!